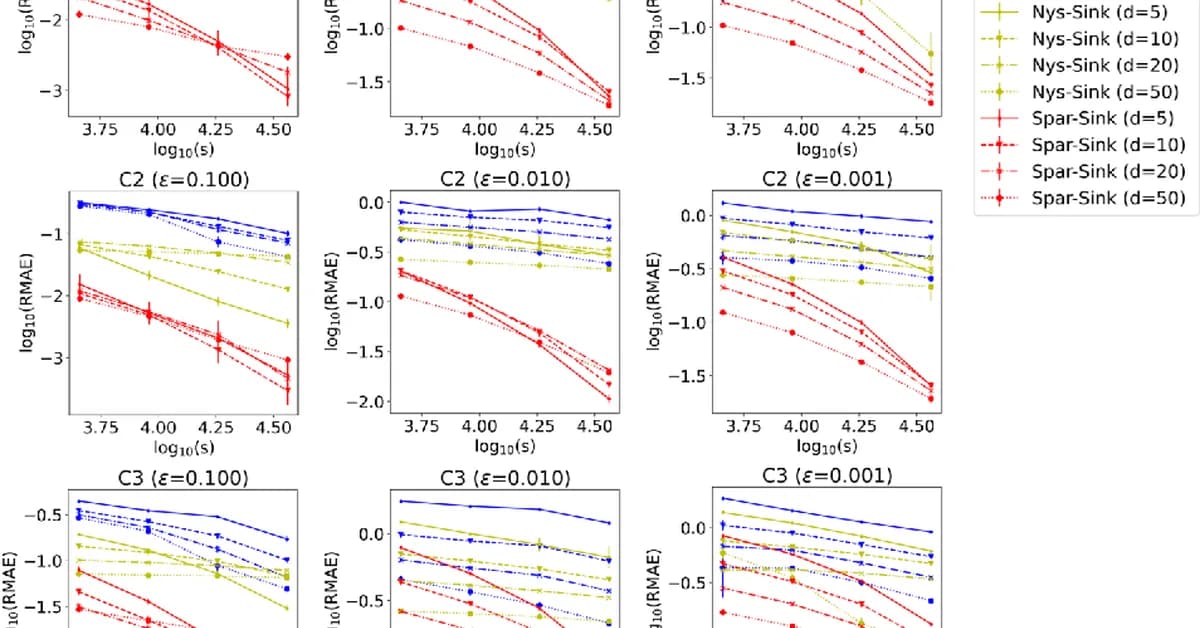
Researchers have introduced Spar-Sink, an importance sparsification method that reduces the computational complexity of the Sinkhorn algorithm for optimal transport problems from (O(n^2)) to (\widetilde{O}(n)), making it more practical for large datasets and real-world applications like echocardiogram analysis. This advancement is crucial for developers seeking efficient solutions in machine learning and data science, as it balances computational efficiency with accuracy in tasks such as cardiac cycle prediction.
Read the full article at arXiv stat.ML
Want to create content about this topic? Use Nemati AI tools to generate articles, social posts, and more.

![[AINews] The Unreasonable Effectiveness of Closing the Loop](/_next/image?url=https%3A%2F%2Fmedia.nemati.ai%2Fmedia%2Fblog%2Fimages%2Farticles%2F600e22851bc7453b.webp&w=3840&q=75)



